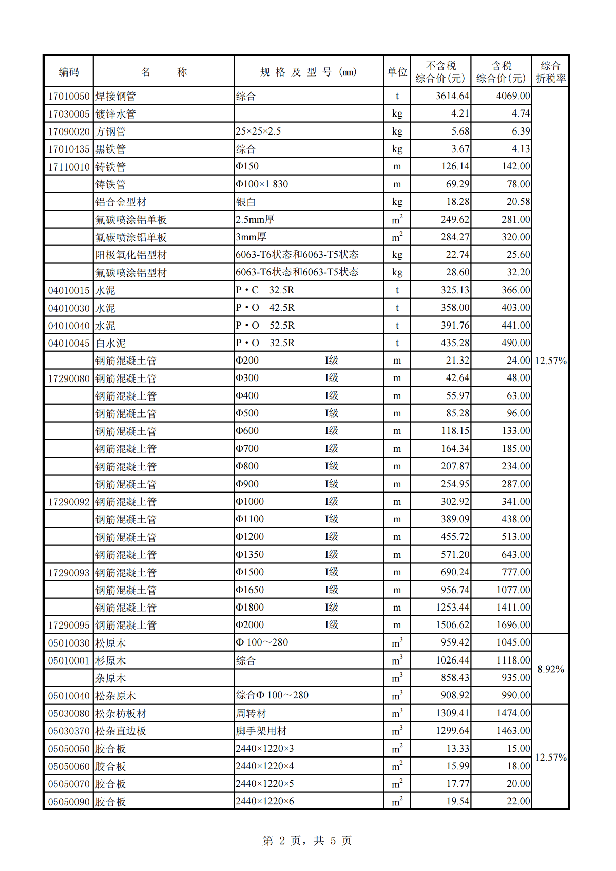
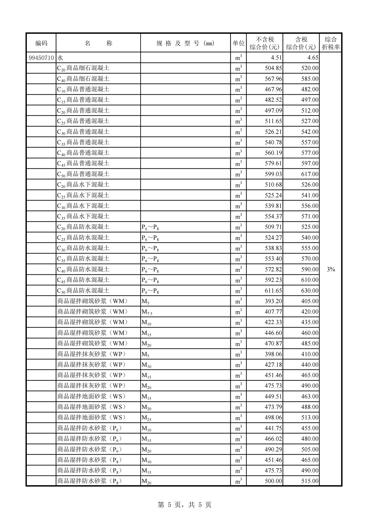
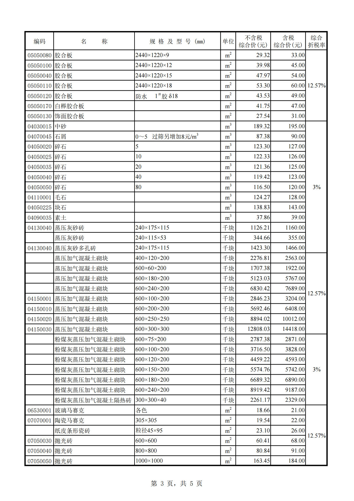
南澳县2025年第二季度材料综合价格表
  • 2025-09-08 11:51
  • 来源: 汕头市南澳县住建局
  • 发布机构:
  • 【字体:    






相关附件:
扫一扫在手机打开当前页

主办:汕头市南澳县人民政府办公室  承办:汕头市南澳县政务大数据中心  网站标识码:4405230001  联系我们
粤公网安备 44052302000038号  备案号:粤ICP备20008825号  技术支持:南方网  网站地图

您访问的链接即将离开“南澳县人民政府门户网站”,是否继续?

- -